SBR+를 이용한 Trihedral 구조의 monostatic RCS 해석 사례
이수영 | 2026년 03월 13일HFSS에서 SBR+를 이용한 Trihedral 구조의 monostatic RCS 해석 사례입니다.
Trihedral은 세개의 삼각형으로 이루어진 피라미드 구조를 말하며
이번 해석에서는 한 변의 길이가 0.5m인 이등변삼각형 세개로 구성된 Trihedral을 이용했습니다.
(+X 방향의 면은 뚫려 있으며, 세 면으로 이루어진 피라미드 모형의 꼭짓점은 원점에 위치합니다.)

강한 후방 산란을 일으켜 큰 RCS 값을 얻기 위해 Trihedral 구조는 Boundary Condition을 이용하여 PEC로 설정해주었습니다.
기하 광학(Geometric Optics) 관점에서 보면 +x 방향에서 오는 ray는 세 개의 반사면에서 연속적으로 반사되어 후방 산란(backscatter) 방향으로 다시 방사됩니다(3-bounce monostatic GO scattering mechanism). 이때 모든 ray가 같은 path length를 가지므로 동위상 증폭이 되어 후방 산란 신호가 강하게 형성됩니다.
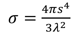
기하 광학 관점에서 +X축 방향에서 바라본 RCS는 아래와 같이 주어지며 10GHz, s=0.5m일 때 291.3m^2 = 24.6 dBsm 입니다.
(λ: 파장, s: 삼각형 한 변의 길이)
아래는 monostatic RCS 해석의 셋업입니다.
< Excitation>
XY 평면에서 Plane Wave 입사 방향을 360° 회전시키며 RCS를 계산합니다.
φ 방향: from -180° to 180° in 0.5° steps
θ 방향: 90° 고정

Excitation 셋업을 완료한 후, 생성된 Excitaion node를 선택하면 원점에 생성된 빨간 arrows(입사 방향 표시)를 확인할 수 있습니다.
<SBR+ 셋업>
세 개의 삼각형(Surface)를 선택하여 SBR+로 설정합니다.
이후 SBR+에서 제공되는 PTD correction 기능을 사용하여 모서리 회절(edge diffraction) 모델링의 정확도를 향상시킵니다.
- Project Manager > Hybrid Regions 우클릭 > SBR+ Wedges > Settings
- Maximum Wedge Angle: 135°
- Include Sheet Edges 체크

PTD correction 기능을 적용하면 HFSS가 내부 각도가 설정값인 135° 이하인 결합된 면을 자동으로 식별하고 Trihedral의 입구 둘레에 있는 정삼각형의 경계인 Knife edges도 식별합니다.

이렇게 식별된 edge는
Project manager > SBR+ Wedges > Wedges Visibility
를 통해 빨간 선으로 표시하여 확인할 수 있습니다.
<Solution Setup>
Solution Setip은 두 가지를 설정하여 비교 진행하였습니다.
1. Solution name SBR: 기본 Monostatic TCS 해석
2. Solution name PTD: PTD correction 기능을 이용한 모서리 회절 보정 해석
- Wedge Correction: PTD Correction

아래는 해석 결과입니다.
<RCS 2D Plot>
PTD Correction 적용 유무에 따른 RCS 결과와 이론 값을 비교할 수 있습니다.

RCS값이 SBR, PTD 해석에서 각각 24.4 dBsm, 24.3 dBsm으로 나타나며
기하 광학에서 이론적으로 계산된 24.6 dBsm보다 조금 낮은 값이 확인됩니다.
기하 광학적 계산은 모서리 회절을 고려하지 않기 때문에, 이는 모서리 회절이 고려된 결과라고 볼 수 있습니다.
φ = 0에서 약 ±35° 범위까지는 RCS가 최고값에서 서서히 감소하며 약 70° 범위에서는 3-bounce monostatic GO scattering mechanism이 유지됩니다.
|φ| = 90°, 140°, 180° 부근에서는 작은 local peak가 나타나는데 이는 모서리 회절에 의해 발생한 것으로 GO 메커니즘보다 약한 산란 메커니즘으로 monostatic 입사각과 관측각, edge의 방향이 Keller cone 조건을 만족할 때 나타납니다.

이러한 현상과 결과는 3D Plot을 통해 시각적으로 확인할 수 있습니다.
+X 방향에서 RCS 값이 가장 크며 edge 방향으로 입사된 전파가 크게 반사되어 local peak를 형성합니다.